Instruments For Testing Your Innovations
Introduction
Helmholtz coil is named after the German physicist Hermann von Helmholtz. It is comprised of two identical magnetic coils positioned in parallel to each other, and their centers are aligned in the same x-axis. The two coils are separated by a distance equal to the radius like a mirror image as shown in Figure 1. When current is passing through the two coils in the same direction, it generates a uniform magnetic field in a three-dimension region of space within the coils. Helmholtz coils are normally used for scientific experiments, magnetic calibration, to cancel background (earth’s) magnetic field, and for electronic equipment magnetic field susceptibility testing.
Helmholtz Coil
Figure 3. High-frequency Helmholtz coils are represented by two series connected LCR circuits.
Helmholtz Coil Construction
Since the two electromagnetic coils are identical, uniform magnetic field is obtained when the separation distance is equal to the coil radius. Usually the two coils are connected in series so that equal current is feeding the two coils will create two identical magnetic fields. The two added Helmholtz fields achieve highly uniform magnetic field in a cylindrical volume of space in the center between the two coils. This region of uniform field (cylinder-shape) is approximately 25% of coil radius (R) in width and 50% in length of the spacing between the two coils. Helmholtz coil are available in 1-axis, 2-axis, or 3-axis. 3-axis Helmholtz coil generate magnetic fields in any direction in the three dimensions space inside the coils. Most Helmholtz coils are circular, but some are square. Square Helmholtz coil offers large working space than circular.
Helmholtz electromagnetic field is generated by either using Alternating Current (AC) or Direct Current (DC). Majority of Helmholtz coils used for scientific experiments generate static (constant) magnetic fields. Static magnetic field uses Direct Current. In some test and measurement applications require non-static electromagnetic fields at high frequencies (kilohertz to Megahertz).
Figure 1. One-axis Helmholtz coil is make of a pair of electromagnetic coils with radius R and separated by a distance also equal to R.
Helmholtz Coil Magnetic Field Calculation
The magnetic field inside the coils in the center is given below for an ideal coil pair (i.e. zero diameter magnetic wire)
Eq. 1
B = Magnetic field in Tesla
n = Number of turns in each coil
I = Coil current in amperes
R = Coil radius in meters
Quick Links
Techniques for Producing High-Frequency AC Helmholtz Field
A self-resonant frequency is produced by the inductance and parasitic capacitance. Although the coils are winded as closely matched as possible, some little variations among them are expected. Thus each coil can have a different self-resonant frequency. As the operating frequency is closer to the self-resonant frequency, the coil current is experiencing “multiplication” effect. This can cause higher current in one coil current than the other. As a rule-of-thumb the working frequency should be well below (less than one-third) the self-resonant frequency.
Figure 2. A pair of Helmholtz coils are modeled as two inductors and two resistors in series.
A set of coils can be modeled as shown in Figure 2. Each coil is modeled as a parasitic resistor connected to an inductor in series. The parasitic resistor's resistance is typically very small. For most Helmholtz coil test cases in which the testing frequency is far lower than the self-resonant frequency, this model is good enough.
If the Helmholtz coil testing frequency is high-frequency and close enough to its self-resonant frequency, the circuit model is improved by taking into account its parasitic capacitances (CP1 and CP2). The parasitic capacitors are parallel to each inductor and resistor in series as displayed in Figure 3.
Figure 4. Waveform amplifier directly drives the coils.
AC Helmholtz Coil Driver
There are two ways to generate high-frequency Helmholtz coil magnetic field. First is the direct-drive method discussed in the below section. This method creates magnetic field for scientific experiment in the simplest manner. It is easy to vary the electromagnetic field and frequency under test. The second technique is the series-resonant method. This is a powerful method for the creating high intensity AC magnetic fields with high frequencies in the orders of hundreds of kilohertz or even Megahertz.
Method 1: Direct-Drive
The Helmholtz coils may be driven directly using a current amplifier driver such as the T250 Waveform Amplifier. The direct-drive method is best suited for low inductance coils or low frequency or both. The coil's reactance (imaginary part of the impedance) is low enough that it can be driven by a high-current amplifier directly as shown in Figure 4 and Figure 5.
Figure 5. Circuit representation of amplifier directly drives the a pair of Helmholtz coils.
The magnetic field is calculated in the above using Equation 1. The minimum needed voltage to produce the required current can be calculated using Equation 2. Higher inductance (or resistance) or frequency will require higher voltage. For that reason, it is important to design low inductance AC Helmholtz coils. The next step is to drive the Helmholtz coil pair with a high-current and high-frequency amplifier driver like the TS250 function generator amplifier as shown in Figure 4.
I is the peak current
is the angular frequency, = 2πf
L1 + L2 are the total inductance,
R1 + R2 are the total resistance.
Method 2: Series Resonant
In some scientific experiments, the required electromagnetic field is at high frequency in the range of hundreds of kilo-Hertz. The Helmholtz coil's impedance increases with frequency (Z = jωL). The impedance of the coils is very large at high frequencies. Consequently high voltage is necessary for driving high current through the AC coil. For example, a 2 milli-Henry high-frequency coil will have an impedance of 2512 ohms at a frequency of 200 kilohertz. If 2A current is needed to produce the desired magnetic field, the required voltage is 5024V! The required power is 10048 watts. A 10kW power amplifier is not readily available. Therefore, producing high-frequency magnetic field is generally challenging. Luckily a there is a way to reduce the coil's impedance at high frequency. To obtain high intensity field while at high-frequency, the series resonant technique for Helmholtz coil is discussed below.
Figure 7. Circuit representation of the Helmholtz coils in resonance using a series capacitor.
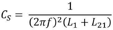
As illustrated in Figure 6 and 7, to operate the high-frequency Helmholtz coils in resonant mode, a capacitor is inserted series. The reactance of the series capacitor has an opposite polarity compare to the inductor. Therefore, the capacitor is acting to cancel the impedance. Hence the total impedance is reduced. At resonant the capacitor reactance (imaginary part of the impedance) fully cancels the inductor’s reactance. That is, the reactance of the inductor and the capacitor have equal magnitude but complete opposite polarity. Only the inductor's (and capacitor's) parasitic resistance remains. With only the resistance remaining, even at high frequency the waveform amplifier can drive high current through the Helmholtz coils. This resonant method permits the signal amplifier to drive high current through the high-frequency coils and thus produces high magnetic field. Recall resonant frequency range is very narrow. The downside of this resonant technique is that when the test frequency is changed, the capacitance needs to be changed. In general, the coil reactance need not reduce all the way to zero, just reduce enough to keep the overall impedance low enough to enable the amplifier driver to drive high current.
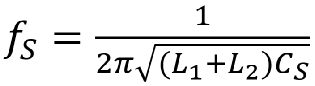
Equation-3 shows the AC Helmholtz coil series-resonant frequency. The series capacitance, CS, is determined using Equation-4. The voltage across the series capacitor is shown in Equation-2 above. At high frequency and high current, the voltage could be in the thousands of volts. Using the previous example, at 2A current and 200 kilohertz through a 2 milli-Henry Helmholtz coil pair, the voltage across the capacitor is 5024 volts. The capacitor must be designed for high voltage. The voltage rating must be at least of that value calculated in Equation-2.
Figure 6. The current amplifier drives high current through the Helmholtz coils using a series resonance capacitor.
Select a Helmholtz Coil Amplifier Driver
After calculating the current and voltage from equation 1 and 2 discussed above, use the Table 1 to select the amplifier model.
Table 1. AC Helmholtz Coil Driver Amplifier Selection Guide
Model |
Voltage Range
|
Peak Reactive Current (Note 1)
|
Peak Resistive Current (Note 2)
|
|
TS200-1B
|
-20V to + 20V
|
0 – 2.8A
|
0 – 3.8A
|
|
TS250-0
|
-10V to + 10V
|
0 – 5.0A
|
0 – 6.0A
|
|
TS250-1
|
-20V to + 20V
|
0 – 3.1A
|
0 – 4.4A
|
|
TS250-2
|
-30V to + 30V
|
0 – 2.1A
|
0 – 3.0A
|
|
TS250-3
|
-40V to + 40V
|
0 – 1.7A
|
0 – 2.5A
|
Caution: Potential Electrical Shock
AC Helmholtz coils and capacitor discussed above may contained enough electrical charge and energy to become an electrical shock hazard. High-voltage insulators are necessary for all electrical connections. Connection wires must be rated for the voltages discussed above in Equation-2. The waveform amplifier output must be disabled prior to connecting or disconnecting the coils and the capacitor. Always use proper high-voltage electrical safety operating techniques.
Copyright: Helmholtz Coil
Quick Links

Related Technical Information
Figure 8 shows an example of an AC Helmholtz coil system using the series resonance method. From the left, a signal generator produces the sinewave. Five high-current drivers (left-center) connected in parallel to provide up +/-30A (60App) current. The driver’s output is connected to a custom-made very low loss, high-voltage, and high-frequency resonance capacitor (center-right). This resonance capacitor is designed for 15kV, 30A, and 250kHz. On the right is a custom-made 15-inch Helmholtz coil for generating magnetic field up to 1MHz.
Figure 8. Custom-made AC Helmholtz coil system for medical device testing.
High Frequency AC Helmholtz Coil System Using Resonance
Custom-Made 10kHz 30mT AC Helmholtz Coil
TS250 Waveform Amplifier Driver
TS200 For Driving Helmholtz Coils
Six TS250 Amplifiers Connected Together for High AC Current
TS250 For Driving AC Helmholtz Coils